2401. Обход в ширину
Задан
неориентированный граф. Найдите кратчайшее расстояние между двумя заданными вершинами.
Вход. В первой строке содержится три натуральных числа n, s
и f (1 ≤ s, f ≤ n ≤ 100) – количество вершин в
графе и номера начальной и конечной вершины. Далее в n строках задана матрица смежности графа. Если значение в j-м элементе i-й строки равно 1, то в графе есть направленное ребро из вершины i в вершину j.
Выход. Выведите
минимальное расстояние от начальной вершины до конечной. Если пути не
существует, то выведите 0.
|
Пример
входа |
Пример
выхода |
|
4 4 3 0 1 1 1 1 0 1 0 1 1 0 0 1 0 0 0 |
2 |
поиск в
ширину
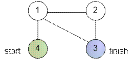
Кратчайший путь
в графе от s до f ищем при помощи поиска в ширину.
Граф приведенный
в примере имеет вид:

Объявим матрицу
смежности g для хранения графа, а также массив dist для хранения
кратчайших расстояний от истока до вершин.
#define MAX 101
int g[MAX][MAX], dist[MAX];
Функция bfs реализует поиск в ширину из вершины start.
void bfs(int start)
{
Инициализируем массив dist.
Если dist[i] = -1, то вершина i еще не посещена.
memset(dist, -1, sizeof(dist));
dist[start] = 0;
Объявляем и инициализируем очередь q.
queue<int> q;
q.push(start);
Продолжаем поиск в ширину пока
очередь не пустая.
while (!q.empty())
{
Извлекаем и удаляем вершину v из головы очереди.
int v = q.front(); q.pop();
Куда можно пойти из вершины v? Перебираем ребра v
→ to.
for (int to = 1; to <= n; to++)
Если из v имеется ребро в to, и при
этом вершина to еще не пройдена, то идем в нее (ребро (v, to) является ребром дерева при
поиске в ширину).
if (g[v][to] &&
dist[to] == -1)
{
Заносим вершину to в конец очереди. Вычисляем
кратчайшее расстояние dist[to].
q.push(to);
dist[to] = dist[v] + 1;
}
}
}
Основная часть программы. Читаем
входные данные.
scanf("%d %d %d", &n, &s, &f);
for (i = 1; i <= n; i++)
for (j = 1; j <= n; j++)
scanf("%d", &g[i][j]);
Запускаем поиск в ширину из вершины s.
bfs(s);
Выводим кратчайшее расстояние. Если пути
до вершины f не существует (dist[f] < 0), то устанавливаем dist[f] = 0.
if (dist[f] < 0) dist[f] = 0;
printf("%d\n", dist[f]);
Реализация алгоритма – список смежности
Объявим список
смежности g для хранения графа, а также массив dist для хранения
кратчайших расстояний от истока до вершин.
vector<vector<int> > g;
vector<int> dist;
Функция bfs реализует поиск в ширину из вершины start.
void bfs(int start)
{
Инициализируем массив dist.
Если dist[i] = -1, то вершина i еще не посещена.
dist = vector<int>(n + 1, -1);
dist[start] = 0;
Объявляем и инициализируем очередь q.
queue<int> q;
q.push(start);
Продолжаем поиск в ширину пока
очередь не пустая.
while (!q.empty())
{
Извлекаем и удаляем вершину v из головы очереди.
int v = q.front(); q.pop();
Куда можно пойти из вершины v? Перебираем ребра v
→ to.
for (int to : g[v])
Если вершина to еще не пройдена, то
идем в нее (ребро (v, to) является ребром дерева при поиске в ширину).
if (dist[to] == -1)
{
Заносим вершину to в конец очереди. Вычисляем
кратчайшее расстояние dist[to].
q.push(to);
dist[to] = dist[v] + 1;
}
}
}
Основная часть программы. Читаем
входные данные.
scanf("%d %d %d", &n, &s, &f);
g.resize(n
+ 1);
for (i = 1; i <= n; i++)
for (j = 1; j <= n; j++)
{
scanf("%d", &val);
if (val == 1) g[i].push_back(j);
}
Запускаем поиск в ширину из вершины s.
bfs(s);
Выводим кратчайшее расстояние. Если пути
до вершины f не существует (dist[f] < 0), то устанавливаем dist[f] = 0.
if (dist[f] < 0) dist[f] = 0;
printf("%d\n", dist[f]);
Объявим матрицу
смежности g для хранения графа, а также массив dist для хранения
кратчайших расстояний от истока до вершин.
#define MAX 110
int g[MAX][MAX], dist[MAX];
Функция bfs реализует поиск в ширину из вершины start.
void bfs(int
start)
{
Инициализируем массив dist.
Если dist[i] = -1, то вершина i еще не посещена.
memset(dist,-1,sizeof(dist));
dist[start] = 0;
Инициализация очереди. Очередь
реализуем в виде локального массива q размера MAX (в любой момент
времени количество вершин в очереди будет не больше чем количество вершин в
графе). Head и Tail – указатели на голову и конец очереди.
int q[MAX],
Head = 0, Tail = 1;
q[Head] = start;
Продолжаем поиск в ширину пока
очередь не пустая.
while(Head
< Tail)
{
Извлекаем вершину v из головы очереди.
int v =
q[Head++];
Куда можно пойти из вершины v? Перебираем ребра v
→ i.
for(int i = 1; i <= n; i++)
Если из v имеется ребро в i, и
при этом вершина i еще не пройдена,
то идем в нее (ребро (v, i)
является ребром дерева при поиске в ширину).
if
(g[v][i] && dist[i] == -1)
{
Заносим вершину i в конец очереди. Вычисляем кратчайшее
расстояние dist[i].
q[Tail++] = i;
dist[i] = dist[v] + 1;
}
}
}
Основная часть программы. Читаем
входные данные.
scanf("%d %d %d",&n,&s,&f);
for(i = 1; i <= n; i++)
for(j = 1; j <= n; j++)
scanf("%d",&g[i][j]);
Запускаем поиск в ширину из вершины s.
bfs(s);
Выводим кратчайшее расстояние. Если пути
до вершины f не существует (dist[f] < 0), то устанавливаем dist[f] = 0.
if (dist[f] < 0) dist[f] = 0;
printf("%d\n",dist[f]);
import java.util.*;
public class Main
{
static int g[][], dist[];
static int n, s, f;
static void bfs(int start)
{
Arrays.fill(dist,-1);
dist[start] = 0;
Queue<Integer> q = new LinkedList<Integer>();
q.add(start);
while(!q.isEmpty())
{
int v = q.poll();
for(int to = 1; to <= n; to++)
if (g[v][to] == 1 && dist[to] == -1)
{
q.add(to);
dist[to] = dist[v] + 1;
}
}
}
public static void main(String[] args)
{
Scanner
con = new Scanner(System.in);
n = con.nextInt();
s = con.nextInt();
f = con.nextInt();
g = new int[n+1][n+1];
dist = new int[n+1];
for (int i = 1; i <= n; i++)
for (int j = 1; j <= n; j++)
g[i][j] = con.nextInt();
bfs(s);
if (dist[f] < 0) dist[f] = 0;
System.out.println(dist[f]);
con.close();
}
}
import java.util.*;
public class Main
{
static ArrayList<Integer>[] g;
static int dist[];
static void bfs(int start)
{
Arrays.fill(dist,-1);
dist[start] = 0;
Queue<Integer> q = new LinkedList<Integer>();
q.add(start);
while(!q.isEmpty())
{
int v = q.poll();
for(int i = 0; i < g[v].size(); i++)
{
int to = g[v].get(i);
if (dist[to] == -1)
{
q.add(to);
dist[to] = dist[v] + 1;
}
}
}
}
@SuppressWarnings("unchecked")
public static void main(String[] args)
{
Scanner con = new Scanner(System.in);
int n = con.nextInt();
int s = con.nextInt();
int f = con.nextInt();
g = new ArrayList[n+1];
for(int i = 0; i <= n; i++)
g[i] = new ArrayList<Integer>();
dist = new int[n+1];
for (int i = 1; i <= n; i++)
for (int j = 1; j <= n; j++)
{
int val = con.nextInt();
if (val == 1) g[i].add(j);
}
bfs(s);
if (dist[f] < 0) dist[f] = 0;
System.out.println(dist[f]);
con.close();
}
}
Python реализация – матрица
смежности
Импортируем двустороннюю очередь.
from collections import deque
Функция bfs реализует поиск в ширину из вершины start.
def bfs(start):
Инициализируем глобальный список dist. Если dist[i] = -1, то вершина i еще не посещена.
global dist
dist = [-1] * (n + 1)
dist[start] = 0
Объявляем и инициализируем очередь q.
q = deque([start])
Продолжаем поиск в ширину пока
очередь не пустая.
while q:
Извлекаем и удаляем вершину v из головы очереди.
v = q.popleft()
Куда можно пойти из вершины v? Перебираем ребра v
→ to.
for to in range(1, n + 1):
Если из v имеется ребро в to, и при
этом вершина to еще не пройдена, то идем в нее (ребро (v, to) является ребром дерева при
поиске в ширину).
if g[v][to] == 1 and dist[to] == -1:
Заносим вершину to в конец очереди. Вычисляем
кратчайшее расстояние dist[to].
q.append(to)
dist[to] = dist[v] + 1
Основная часть программы. Читаем
входные данные.
n, s, f = map(int, input().split())
g = [[] for _ in range(n + 1)]
for i in range(1, n + 1):
g[i] = [0] + list(map(int, input().split()))
Запускаем поиск в ширину из вершины s.
bfs(s)
Выводим кратчайшее расстояние. Если пути
до вершины f не существует (dist[f] < 0), то устанавливаем dist[f] = 0.
if dist[f] < 0: dist[f] = 0
print(dist[f])
Python реализация – список
смежности
Импортируем двустороннюю очередь.
from collections import deque
Функция bfs реализует поиск в ширину из вершины start.
def bfs(start):
Инициализируем глобальный список dist. Если dist[i] = -1, то вершина i еще не посещена.
global dist
dist = [-1] *
(n + 1)
dist[start] = 0
Объявляем и инициализируем очередь q.
q = deque([start])
Продолжаем поиск в ширину пока
очередь не пустая.
while q:
Извлекаем и удаляем вершину v из головы очереди.
v = q.popleft()
Куда можно пойти из вершины v? Перебираем ребра v
→ to.
for to in g[v]:
Если вершина to еще не пройдена, то
идем в нее (ребро (v, to) является ребром дерева при поиске в ширину).
if dist[to] == -1:
Заносим вершину to в конец очереди. Вычисляем
кратчайшее расстояние dist[to].
q.append(to)
dist[to] = dist[v] + 1
Основная часть программы. Читаем
входные данные.
n,
s, f = map(int, input().split())
Инициализируем и
строим список смежности g.
g =
[[] for _ in range(n + 1)]
for i in range(1, n
+ 1):
row = [0] + list(map(int, input().split()))
for j in range(1, n
+ 1):
if row[j] == 1:
g[i].append(j)
Запускаем поиск в ширину из вершины s.
bfs(s)
Выводим кратчайшее расстояние. Если пути
до вершины f не существует (dist[f] < 0), то устанавливаем dist[f] = 0.
if dist[f] < 0: dist[f] = 0
print(dist[f])